مقدمهایی بر طراحی داروی رترومتابولیک
رویکردهای رترومتابولیک هم برای طراحی داروی “In Silico” و “wet chemistry” اجرا شده است. این روش سیستماتیک برای ارائه ترکیبات ایمن و موثر در پزشکی استفاده میشود. این روش نوعی تجزیه و تحلیل رتروسنتتیک است به این معنا که برای حل مشکلات و مسائل مربوط به سنتز آلی استفاده میشود.
طراحی داروی رترومتابولیک اغلب با تفسیر ساختار سه بعدی، بررسی گروههای عملکردی کلیدی، و بررسی ساختارهای اسکلتی مشخص میشود. برخی از برنامههای رایجی که میتوانند برای انجام این کارها استفاده شوند عبارتند از PyMOL، Benchling، Geneious و غیره.
ماهیت طراحی داروی رترومتابولیک چیست؟
بسیاری از ترکیبات طبیعی برای پزشکی استفاده میشود، مانند پوست درخت بید که به آسپرین تبدیل شده یا قالب پنی سیلیوم تصفیه شده برای ساخت پنی سیلین. هر دو ترکیب نسبتاً فراوان هستند، در حالی که ترکیب شیمیایی آنها ساده است و تکثیر آنها در آزمایشگاه را آسان میکند. با این حال، داروهای اورفان و نشانگرهای زیستی نادری وجود دارند که سنتز آنها بسیار دشوارتر و بسیار کمتر است. در شرایطی مانند این، اجرای طراحی داروی رترومتابولیک در آزمایشگاه کاملاً امکان پذیر است. در اینجا، شیمیدانان به دنبال یک مسیر مصنوعی برای ساختن «مولکول هدف» نادر هستند. این کار با شکستن آنالیت به قطعات کوچک و کوچکتر انجام میشود.
این مسیر شبیه به تکمیل یک پیچ و خم خواهد بود، اگرچه شما از نقطه پایانی شروع میکنید نه از ابتدا. شروع از یک مولکول دلخواه و اضافه کردن بخشهای خاص به طوری که هدف نهایی برآورده شود. این روند بحث برانگیز است. در عوض، دانشمندان از روشهایی برای جداسازی بخشهای هدف و گروههای عاملی استفاده میکنند و بررسی میکنند که آیا این اهداف را میتوان در طبیعت یافت یا از مواد طبیعی جدا کرد.
در این مورد، رتروسنتز در بین شیمیدانان آلی بسیار رایج است و به راحتی می.توان آن را با کشیدن فلشهای رتروسنتتیک نشان داد.

در این مثال، هویت همه پیشسازها بر اساس محصول نهایی است. در کلاس و آزمایشگاه، شیمیدان از دانش اولیه انواع واکنش، مانند جانشینی نوکلئوفیل، جایگزینی آروماتیک، واکنشهای افزودن و غیره استفاده میکند تا مسیر معقولی را که توسط آن ترکیب ممکن است به صورت آنزیمی سنتز شود، روشن کند.
نمونههایی از انواع داروها که اغلب از طریق استفاده از طرحهای دارویی Retrometabolic کشف میشوند، بتا بلاکرها، استروئیدهای ضد التهابی، مسکنها و غیره هستند. کتابخانههای کاملی از آنالوگهای دارویی بالقوه از طریق کار عملی و در طراحی سیلیکونی با استفاده از برنامهها و الگوریتمهای کامپیوتری ایجاد شده است. ریاضیات و روشهای سنجش بیشتر امکان رتبهبندی این نامزدها را با استفاده از الکترونگاتیوی، شکل فضایی و حلالیت به عنوان معیارهای مناسب فراهم کرده است.
واکنشهای بالقوه زیادی وجود دارد که میتواند یک گروه عملکردی واحد ایجاد کند. اگر کسی بخواهد واکنشهای اولیه بعدی را برای ایجاد گروه عملکردی مزبور فرضیه کند، احتمالات به صورت تصاعدی افزایش مییابد. بنابراین، محاسبات و نرم افزار بیشتر برای ارزیابی این داروها ضروری است.
چگونه سنتز رترومتابولیک انجام میشود؟
ابزارها و تکنیکهای زیادی وجود دارد که میتوان در کلاس شیمی آلی از آنها استفاده کرد تا به کسی امکان دستکاری و بازرسی فعل و انفعالات مولکولی را بدهد. اگر کسی برای حل یا درک یک مسیر رتروسنتتیک تلاش کند، به شمارش زنجیره کربن در محصول نهایی کمک میکند. به این صورت که هرگونه قطع شدن پیوندهای کربن-کربن به حساب میآید و مجموع همه پیشسازها میتواند به مولکول اصلی اضافه شود. این قطع و گسستهای بین مولکولها از طریق واکنشهای آلی شناخته شده و آزمایشات گذشته ایجاد میشوند.

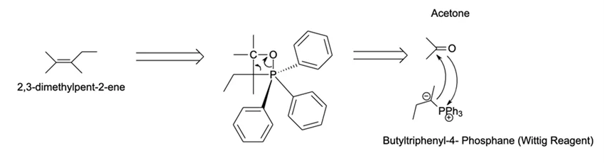
بیایید به مثال سادهای که در بالا نشان داده شده است نگاه کنیم. ابتدا باید بفهمیم که چه مولکولی را میخواهیم سنتز کنیم، چه گروههای عاملی در آن مولکول وجود دارد و چه واکنشهایی برای تولید این گروههای عاملی لازم است. هدف ما در اینجا ساختن آلکن زیر (۲و۳-دی متیل پنت-2-ان) از استون و یک معرف Wittig نامشخص است.
ما میدانیم که برای تشکیل آلکن، کربن با بار منفی در معرف Wittig و کربن کربونیل باید یک پیوند دوگانه تشکیل دهند. میدانیم که سه کربن موجود در استون میتوانند سمت چپ محصول را تولید کنند، به این معنی که برای تولید بقیه به یک قطعه چهار کربنه نیاز است. ما میدانیم که واکنش پیشنهادی بالا با استفاده از تمام این اطلاعات معتبر خواهد بود.
در اینجا، با افزودن بخش نوکلئوفیل استون پیوند C=O میتواند دو پیوند جدید ایجاد کند که منجر به یک ساختار حلقوی چهار کربنه میشود. این مرحله انتقال دارای زوایای پیوندی است که تقریباً 109.5 درجه است. ناپایداری این حلقه با حذف Ph3P=O باعث تکه تکه شدن اگزافسفتان میشود. این باعث آلکنی شدن محصول مورد نظر میگردد.
رویکردهای رترومتابولیک برای طراحی و هدف گذاری دارو
طراحی داروی رترومتابولیک در درجه اول بر بهبود توزیع دارو و در عین حال کاهش سمیت با بهبود شاخص درمانی داروی مورد نظر (نسبت فعالیت/سمیت) تمرکز دارد. برای تقویت این ویژگیهای دارویی، دانشمندان داروسازی به سیستمهای تحویل شیمیایی (CDS) و «قدرت گروه عملکردی» نگاه میکنند، که هر دو بر اساس فعالسازی آنزیمی احتمالی مکانهای هدف خاص هستند. هدف ثانویه این روش طراحی دارو، شکلگیری خود دارو در رابطه با میزان “green” بودن فرآیند است. مانند هر پروتکل دیگری که در آزمایشگاه انجام میشود، اجرای استانداردهای تعیین شده توسط شیمی تجزیه سبز و اهداف توسعه پایدار باید از اهمیت بالایی برخوردار باشد.
همچنین بخوانید:
مترجم: شقایق مرتاضی



