تست پائولی چیست؟
- یک آزمایش شیمیایی به نام واکنش پائولی وجود دارد که میتواند تعیین کند که آیا پروتئین حاوی اسیدهای آمینه تیروزین یا هیستیدین است یا خیر.
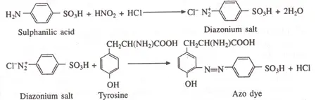
- نام این تست از دانشمند آلمانی Hermann Pauly گرفته شده است. در شرایط قلیایی، واکنش جفت شدن بین پروتئینهای حاوی تیروزین یا هیستیدین و اسید سولفانیلیک دیازوتیزه، رنگ قرمز میدهد.
- هنگامی که اسید سولفانیلیک دیازوتیزه شده با آمینها، فنلها یا ایمیدازول ترکیب میشود، ترکیبات بسیار رنگی میتوانند تشکیل شوند.
- از آنجایی که جزء دیازونیوم را میتوان تنها در دماهای پایین تولید کرد، دیازوتیزاسیون نیاز به سرد کردن محلول در یخ دارد.
اهداف تست پائولی
تیروزین و هیستیدین، اسیدهای آمینه معطر و تشخیص
اصول تست پائولی
وجود تیروزین و هیستیدین را میتوان با این تست با دقت بالا مشخص کرد. اسید سولفانیلیک در اسید هیدروکلریک حل شده و به عنوان معرف در این آزمایش استفاده میشود. هنگامی که اسید سولفانیلیک در معرض نیتریت سدیم و اسید هیدروکلریک قرار میگیرد، با فرآیند دیازوتیزاسیون نمک دیازونیوم را تشکیل میدهد. برای تولید یک کروموژن قرمز، نمک دیازونیوم تولید شده با تیروزین یا هیستیدین در یک محیط قلیایی (رنگ آزو) ترکیب میشود.
واکنش تست پائولی

- اسید سولفانیلیک + HNO2 + HCl → نمک دیازونیوم + 2H2O
- نمک دیازونیوم + تیروزین → رنگ آزو (رنگ قرمز)
شرایط لازم برای تست پائولی
- 1٪ تیروزین، 1٪ هیستیدین، 1٪ گلیسین
- 1% سولفانیلیک اسید در 10% HCI
- نیتریت سدیم 5 درصد
- کربنات سدیم 10 درصد
- حمام یخ
مراحل تست پائولی
- 2 میلی لیتر محلول آزمایش را در یک لوله آزمایش خشک قرار دهید.
- 2 میلی لیتر آب مقطر را در یک لوله آزمایش جداگانه به عنوان شاهد بریزید.
- 1 میلی لیتر اسید سولفانیلیک اضافه کنید، کاملا هم بزنید و در حمام یخ نگهداری کنید.
- به هر لوله آزمایش 1 میلی لیتر محلول نیتریت سدیم اضافه کنید.
- به مدت سه دقیقه در حمام یخ قرار دهید.
- برای ایجاد یک محلول قلیایی، 5 میلی لیتر کربنات سدیم اضافه کنید.
- حواستان به تشکیل ترکیب قرمز رنگ باشید.
نتیجه و تفسیر آزمون پائولی

- تست مثبت: وجود تیروزین یا هیستیدین با تشکیل یک رنگ قرمز مشخص میشود.
- تست منفی: عدم تولید رنگ قرمز نشان دهنده عدم وجود تیروزین یا هیستیدین است.
محدودیتهای آزمون پائولی
- تولید نمک دیازونیوم در دماهای پایین اتفاق میافتد. از این رو، آزمایش باید با وجود یخ انجام شود.
- این آزمایش قادر به تشخیص هیستیدین و تیروزین نیست. هیستیدین در تست میلون یک نتیجه منفی ایجاد میکند، بنابراین آزمایش را میتوان انجام داد.
سوالات متداول
تست پائولی چیست؟
تست پائولی یک آزمایش بیوشیمیایی است که برای تشخیص وجود پروتئینهای حاوی تیروزین و هیستیدین استفاده میشود. این نام به افتخار شیمیدان آلمانی هرمان پائولی که این آزمایش را کشف کرد، گرفته شده است.
اصول پشت آزمون پائولی چیست؟
آزمایش پائولی بر اساس اصل جفت شدن بین اسیدهای آمینه و یون دیازونیوم تشکیل شده در معرف است. معرف پالی از اسید سولفانیلیک حل شده در اسید هیدروکلریک غلیظ تشکیل شده است. اسید سولفانیلیک در حضور نیترات سدیم و اسید هیدروکلریک تحت دیازوتیزاسیون قرار میگیرد. نتیجه واکنش دیازوتیزاسیون نمک دیازونیوم (p-phenyldiazosulphonate) است.
تست پائولی چگونه انجام میشود؟
برای انجام تست پائولی، 1 میلی لیتر اسید سولفانیلیک سرد شده به یک لوله آزمایش اضافه میشود و چند قطره نیتریت سدیم از قبل سرد شده در یک ورتکس مخلوط میشود. یک میلی لیتر از نمونه اسید آمینه بلافاصله به لوله آزمایش اضافه میشود و در یک گرداب مخلوط میشود. چند قطره کربنات سدیم قطره قطره به لوله آزمایش اضافه میشود تا زمانی که رنگ ظاهر شود. یک نتیجه مثبت با ظاهر یک ترکیب قرمز رنگ نشان داده میشود که نشان دهنده وجود هیستیدین و تیروزین در محلول است.
استفاده از تست پائولی چیست؟
تست پائولی برای تشخیص وجود پروتئینهای حاوی تیروزین و هیستیدین استفاده میشود. این آزمایش همچنین امکان تمایز هیستیدین و تیروزین از سایر اسیدهای آمینه را فراهم میکند.
محدودیتهای تست پائولی چیست؟
تشکیل نمک دیازونیوم در دماهای سرد اتفاق میافتد. بنابراین، آزمایش باید در حضور یخ انجام شود. آزمایش تمایز بین هیستیدین و تیروزین را اجازه نمیدهد. آزمایش میلون را میتوان انجام داد زیرا هیستیدین در آزمایش میلون نتیجه منفی میدهد.
همچنین بخوانید:
- تست میلون (Millon’s Test): تعریف، اصول، روش، نتیجه و موارد استفاده
- چارت کدون (Codon Chart) و جدول اسیدهای آمینه
مترجم: شقایق مرتاضی



